صاعقه گیر فعال چیست؟
صاعقه گیر فعال یا اکتیو که با عبارت Early Streamer Emission یا ESE نیز شناخته می شوند با ایجاد کانال بالارونده به صورت مصنوعی، موجب عملکرد سریعتر و افزایش شعاع حفاظتی می شود.
اصول عملکرد
در هوای ابری و پر طلاطم ، میدان الکتریکی در فضا تولید می گردد که مقدار آن از ۱۰kv/meter شروع و با گذر زمان بیشتر و بیشتر می شود؛ وقتی شدت میدان الکتریکی به حد ۵۰kv/meter برسد، زمان شکست عایقی بین ابر و زمین یا مابین دو ابر باردار فرا رسیده است که حاصل این تخلیه وقوع صاعقه می باشد. بلوک الکتریکی این تجهیز (Energy Block) از طریق شاخکهای بیرونی و میله میانی متصل به زمین شارژ شده و انرژی موجود در هوا را چنانچه توضیح داده شد، بطور مداوم جذب و روی هم انباشته کرده و اندک زمانی قبل از وقوع صاعقه، بلوک الکتریکی موصوف انرژی انباشته شده را بوسیله سه شاخک تخلیه می کند و بدین ترتیب رودخانه ای از یونهای آزاد شده بطرف ابر جهت می گیرند و با زبانه هایی که از طرف ابر به طرف زمین کشیده شده برخورد کرده و مسیری ترجیحی برای تخلیه صاعقه از طریق این برقگیر ایجاد می نماید.
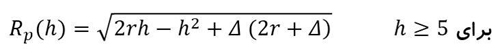
هر صاعقه گیر فعال (E.S.E) با مقدار ΔT شناخته می شود و این فاکتور مهمترین عامل در کارکرد یک صاعقه گیر یونیزه کننده هوا است. ΔT زمانی است که این صاعقه گیر زودتر از یک میله ساده (در آزمایشگاه فشار قوی ) صاعقه را به زمین تخلیه میکند و واحد آن میکرو ثانیه است. بر اساس استاندارد NFC 17-102 یک سری تست در آزمایشگاه فشار قوی برای محاسبه زمان تخلیه در مقایسه با یک میله ساده برای هر صاعقه گیر یونیزه کننده انجام می گدد و از نتایج حاصل از آن مقدار ΔT محاسبه می گردد.شعاع حفاظتی صاعقه گیر (Rp) بر اساس ارتفاع پایه صاعقه گیر بالای سازه های مورد حفاظت ، راندمان آن در زمان آتش و سطح حفاظتی انتخابی بستگی دارد . استاندارد NFC 17-102 نسخه ۲۰۱۱ ، دو فرمول محاسباتی برای اندازه گیری شعاع حفاظت در اختیار قرار می دهد.
برای ارتفاع های بیش از ۵ متر:

که در آن Rp شعاع حفاظتی بر حسب متر ، h ارتفاع نوک هادی صاعقه گیر از سطح مورد حفاظت بر حسب متر، r پارامتر مربوط به کلاس حفاظتی بوده
و برای ارتفاع ۲ تا ۵ متر:

که در آن Δ ، طول مسافتی که در زمان ΔT ، هدایتگر رو به بالا طی می کند نامیده میشود . این فاصله بر اساس فرمول (Δ(m)=V(m/µs)× ΔT(µs محاسبه می شود. و در آن V سرعت یونیزاسیون کانال صاعقه می باشد که معادل ۱m/µs در نظر گرفته می شود.
آزاد سازی کنترل شده یون ها
واحد جرقه زن (TRIGGERING) صاعقه گیرهای الکترونیکی شرایطی را ایجاد می کند تا چشمه جوشانی از یون (کرونا) در اطراف میله نوک تیز فراهم شود. دقت عمل این واحد باید به گونه ای کنترل شده باش که آزاد سازی یونها را درست چند میکرو ثانیه قبل از حدوث و تخلیه صاعقه صورت دهد. حضور حجم وسیع بارهای الکتریکی در اطراف میله نوک تیز صاعقه گیر پس از یونیزاسیون توسط واحد جرقه زن سبب می شود تا پدیده طبیعی تجمع بارهای الکترونیکی اطراف میله (Corona effect) تقویت و تشدید شود.


